您的位置:首页 > 软件 > 商务办公 >极度公式正版
极度公式正版

极度公式正版

  • 类型:商务办公
  • 大小:40.4MB
  • 更新时间:2026-05-21 10:28:48
立即下载
极度公式正版
极度公式正版 商务办公 | 40.4MB
马上下载
×
351人已预约此应用
确定
取消

极度公式是微智团队全新打造的跨平台专业级Latex公式软件,旨在帮助用户快速识别各类专业公式。这款公式识别转换工具具备强大的数学公式处理能力,支持批量识别、手写公式识别、图片公式提取等多种实用功能。有需要的用户不妨前往体验极度公式,一同探索公式的独特魅力。

极度公式介绍

极度公式除了具备图片及拍照公式识别、多线程同步操作等核心功能外,还配备了多项辅助功能,从而全面保障用户在公式使用过程中的准确性与工作效率。

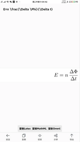
极度公式识别界面功能介绍

「返回」:返回上一菜单。

「复制」:可将公式代码以Latex、MathML、Omml三种格式复制到剪贴板。

「校验」:将原图和识别内容做对照。

「分享」:分享其其他软件。

「导出」:导出为其他格式。

极度公式特色

1、简洁易用的界面:极度公式的用户界面设计直观简洁,即使是初次使用的用户也能迅速上手。

2、适用范围广泛:无论是基础数学还是高等数学领域,都能覆盖各年龄段的学习需求,满足不同用户的多样化要求。

3、高精度识别技术:无论是印刷体还是手写体,极度公式都能实现高精度的识别率,保证了学习质量。

4、LaTeX格式输出:转换后的公式能够直接生成LaTeX代码,方便学术论文与教材的编写工作。

极度公式亮点

1、复杂公式识别:支持各种复杂的印刷公式识别,即使是细节繁多的公式也能准确识别。

2、手写公式识别:不仅限于印刷体,还能识别手写公式,让笔记和草稿的数字化更加便捷。

3、表格识别与转换:可对表格内容进行识别并转换为LaTeX格式,方便开展数据分析和文档编写工作。

4、批量识别功能:一次最多可识别20个公式,大幅提高工作效率。

5、云端同步:支持云端同步功能,用户可以在不同设备之间无缝衔接,确保学习进度不中断。

极度公式优势

极度公式可应用于各类需处理数学公式的场景,核心优势在于严谨性。同时,它配备了汉字自动修正引擎,还具备页游自动截图复制标准LaTeX、多功能截图等实用功能,能有效助力用户提升办公效率与操作准确性。

详细信息

大小:40.4MB 版本:V1.1.7
分类:商务办公 更新时间:2026-05-21 10:28:48
  • 官方版
  • 无广告
  • 需网络
相关推荐
最新专题
最新推荐